
První komplexní platforma pro screening stability biologických látek
Unchained Labs Uncle.
Zjišťování stability pomocí celé řady jednofunkčních a materiálově náročných přístrojů je velmi pracné. Uncle kombinuje tři různé měřicí metody — fluorescenci, statické rozptylování světla (SLS) a dynamické rozptylování světla (DLS). Díky tomu získáte všechna potřebná data během několika hodin a s minimální spotřebou vzácného vzorku. Všechny získané informace vám usnadní výběr nejlepší formulace, proteinu nebo virového vektoru.
Unchained Labs Uncle: Zjistěte mnohem víc na jeden zátah.
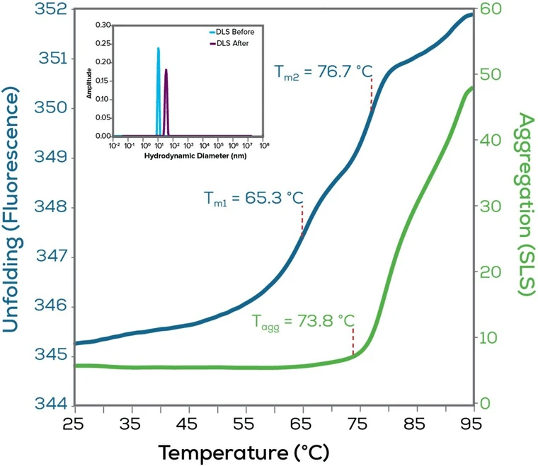
Zkoušíte nové formulace nebo konstrukty? Získejte informace o stabilitě proteinů až u 48 vzorků během méně než 2 hodin. Zaznamenejte Tm i Tagg současně a zjistěte, kdy rozvinutí proteinu vede k agregaci. Přidejte DLS měření ještě před teplotním gradientem a hned na začátku poznáte, jestli máte problém s agregáty.
Unchained Labs Uncle: Nechte to uzrát.
Získejte náskok při testování dlouhodobého skladování včasným zaměřením na izotermická měření stability proteinů – dříve, než se objeví problémy.
Unchained Labs Uncle: Stabilita AAV kapsid.
Uncle v kombinaci se SYBR Gold detekuje únik DNA dříve, než dojde k narušení kapsidy AAV. Kvantifikuje počáteční množství volné DNA a také to, co se uvolní po teplotním gradientu.
Unchained Labs Uncle: Odhalte úniky genomu.
Ujistěte se, že z vašich vektorů časem neuniká DNA ani RNA. Díky plnému fluorescenčnímu spektru a izotermické aplikaci SYBR Gold můžete v malém objemu provést včasnou kontrolu zrychleného izotermického skladování.
Unchained Labs Uncle: B22 a kD.
Získejte hodnoty B22 a kD současně v jednom Uni. Při velmi vysokých koncentracích můžete přepnout na G22. Zjistěte okamžitě, zda je kombinace proteinu a formulace stabilní, nebo hrozí agregace – s pomocí softwaru, který výsledky jednoduše interpretuje.
Unchained Labs Uncle: Rozjeďte to s Uni.
Získejte více dat s mnohem menším množstvím vzorku. Uni potřebuje jen 9 μL a vy si volíte, jak jej využijete – 1 vzorek ráno, 48 odpoledne. Proveďte pouze DLS měření, pokud je to vše, co potřebujete. Nebo nejprve zkontrolujte DLS a poté spusťte třídenní experiment ke sledování stability v reálném čase. Vaše vzorky jsou hermeticky uzavřené, takže délka měření může být krátká i dlouhá – záleží jen na vás.
Unchained Labs Uncle: Celé spektrum.
Biologické přípravky a genové vektory jsou specifické. S přístrojem Uncle získáte celé fluorescenční spektrum, takže nemusíte předem vědět, jak se váš vzorek chová. Chcete vyzkoušet nová barviva? Uncle je bez problému zachytí. Jeho SLS měří agregaci na dvou vlnových délkách, což z něj dělá vysoce citlivý a nepostradatelný nástroj pro detekci agregátů v širokém rozsahu velikostí.
Unchained Labs Uncle: 21CFRp11.
Pracujete v regulovaném prostředí? Pak víte, jak důležité je řízení přístupu k datům a zajištění jejich integrity. Uncle je vybaven softwarovými nástroji kompatibilními s 21CFRp11, které lze jednoduše aktivovat.
